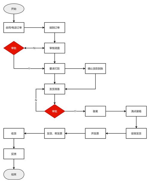
物流企业订单处理全流程
整个流程可以概括为以下几个主要阶段:

(图片来源网络,侵删)
- 订单接收与确认
- 订单审核与分拣
- 任务分派与资源调度
- 订单执行与履约
- 订单状态跟踪与更新
- 订单完成与结算
下面我们逐一展开说明。
第一阶段:订单接收与确认
这是流程的起点,目标是准确、及时地获取客户的订单信息。
-
订单来源:
- 线上渠道: 企业官网、电商平台(如淘宝、京东、Amazon)、ERP系统对接、API接口等。
- 线下渠道: 电话、传真、邮件、销售人员手写单、客户到访下单等。
- 系统自动生成: 基于预设规则(如库存预警、定期补货)自动生成的补货订单。
-
订单信息录入:
(图片来源网络,侵删)- 收到订单后,需要将信息录入到公司的物流管理系统中。
- 核心信息必须包括:
- 客户信息: 发货人、收货人(姓名、电话、地址)。
- 货物信息: 品名、数量、重量、体积、件数、包装类型。
- 服务要求: 运输方式(空运/陆运/海运)、时效要求(普快/特快/次日达)、是否需要保价、是否需要签回单等。
- 费用信息: 预估费用、支付方式(预付/到付)。
-
订单初步确认:
- 系统自动或人工核对订单信息的完整性和准确性,检查关键字段(如地址、电话、联系方式)是否清晰有效。
- 对于信息不全或模糊的订单,需立即联系客户进行补充确认,避免后续操作错误。
第二阶段:订单审核与分拣
这一阶段是对订单进行“体检”和“分类”,确保订单可行,并为后续操作做好准备。
-
订单审核:
- 业务规则审核:
- 地址验证: 检查收货地址是否在服务覆盖范围内(偏远地区、禁运区)。
- 时效评估: 根据当前运力、线路和天气情况,判断客户要求的时效是否可实现。
- 货物合规性检查: 检查货物是否为危险品、违禁品,或需要特殊资质运输的物品。
- 信用审核: 检查客户账户状态(如是否欠费、信用等级),决定是否需要预付款。
- 异常处理: 对于无法满足的订单(如地址超区、禁运品),需及时通知客户,并提供备选方案或办理取消退款。
- 业务规则审核:
-
订单分拣:
- 审核通过后,系统会根据预设规则对订单进行分类,以便于批量处理。
- 常见分拣维度:
- 按目的地分: 同一城市、同一省份、同一大区。
- 按运输方式分: 陆运、空运、海运。
- 按客户类型分: 大客户、中小客户、个人客户。
- 按服务优先级分: 加急件、普通件。
- 分拣后的订单会形成不同的“波次”(Wave),为后续的集中操作做准备。
第三阶段:任务分派与资源调度
这是将订单转化为具体“任务”并分配给执行人员的过程。
-
生成任务指令:
- 系统根据分拣后的订单,自动生成一系列操作指令。
- 主要指令包括:
- 提货/取货单: 通知司机或提货员去指定地点取货。
- 入库单: 通知仓库准备接收货物。
- 运输任务单: 分配给具体的车辆和司机,规划运输路线。
- 派送单: 通知派送员将货物送达最终客户。
-
资源调度:
- 车辆调度: 根据订单的体积、重量和时效要求,指配合适的车型(面包车、高栏车、冷藏车等)和司机。
- 人员调度: 分配仓库操作员、装卸工、派送员等。
- 仓储资源调度: 如果涉及中转或仓储,需分配库位。
- 路线优化: 系统或调度员会规划最优的提货、运输和派送路线,以节省时间和燃油成本。
第四阶段:订单执行与履约
这是物流流程的核心,将货物从起点移动到终点。
-
提货/入库:
- 司机或提货员根据提货单上门取货,与发货人核对货物信息、清点数量、检查包装,并签收。
- 货物返回仓库或分拨中心后,进行卸货、扫码入库,系统自动更新库存状态。
-
仓储操作 (如涉及):
- 上架: 将货物放置到指定库位。
- 存储: 在库期间进行定期盘点和管理。
- 分拣/打包: 如果是零担或电商订单,可能需要进行二次分拣和打包。
-
运输与干线运输:
- 装车后,车辆按照规划好的路线进行干线运输(如从上海到北京的中转)。
- 在运输途中,司机需遵守交通规则,并可能通过GPS系统定期上报位置。
-
到货与分拨:
货物到达目的地城市的分拨中心后,进行卸货、分拣,并按照下一级派送区域进行重新装车。
-
末端派送:
- 派送员根据派送单,将货物从分拨中心送到最终收货人手中。
- 关键动作: 核对身份、检查货物完好性、要求收货人签收,并可能通过拍照等方式作为凭证。
第五阶段:订单状态跟踪与更新
这是提升客户体验的关键环节,让客户随时了解订单动态。
-
状态节点定义:
- 系统会定义一系列标准状态,如:已接收、已审核、已提货、运输中、到达分拨中心、派送中、已签收、异常等。
-
状态实时更新:
在每个操作环节(提货、入库、装车、到达、派送等),操作人员通过PDA、扫描枪或手机APP扫描货物条码,系统状态会自动更新。
-
客户信息推送:
- 系统通过短信、APP推送、微信公众号等方式,将关键节点状态实时通知给客户。
- 客户也可以通过官网、客服电话主动查询订单状态。
第六阶段:订单完成与结算
订单流程的收尾工作,确保所有费用结清,业务闭环。
-
签收回传与确认:
- 派送员将签收单(纸质或电子)回传至系统,作为订单完成的最终凭证。
- 系统将订单状态更新为“已完成”。
-
费用核算:
- 系统根据订单的实际执行情况(如实际重量/体积、实际里程、附加服务)进行最终费用核算。
- 与客户进行对账,确认最终账单。
-
财务结算:
- 根据合同约定,向客户开具发票,并收取款项(或进行内部成本核算)。
- 与司机、合作伙伴等进行运费等费用的结算。
-
归档与分析:
- 将订单相关的所有单据(电子或纸质)进行归档保存,以备后续查询或审计。
- 对订单数据进行统计分析,分析各环节耗时、成本、客户满意度等,用于流程优化和决策支持。
流程优化与技术应用
现代物流企业越来越依赖技术来优化订单处理流程:
- 物流管理系统/TMS (Transportation Management System): 整个流程的大脑,实现订单全流程数字化管理。
- 仓库管理系统/WMS (Warehouse Management System): 精细化管理仓储环节。
- 自动化设备: 自动分拣线、AGV机器人、无人叉车等,提高效率和准确性。
- 大数据与AI: 用于需求预测、智能路径规划、智能调度,降低成本。
- 物联网: 通过GPS、传感器实时追踪货物位置和状态(如温湿度)。
- 电子面单: 替代传统纸质运单,实现快速打印、数据自动录入,提升效率。
通过以上标准化的流程和先进技术的应用,物流企业可以实现订单处理的高效、准确、透明和低成本,从而在激烈的市场竞争中获得优势。
